car-wallpaper-amazing

Black Car Wallpaper Full Hd 4k De 142de 111a 3d

Plymouth Other Items For Sale 2 Listings Tractorhouse Com
www.tractorhouse.com

Pdf Catalogues Of Radial And Rotational Velocities Of 1253 F K
www.researchgate.net

Blue Audi A8

D44e5z4u5lcqfm

8 Channel Security System With Eight 1080p Hd Outdoor Cameras
www.lorextechnology.com

Used Mazda Mazda3 For Sale With Photos Cargurus
www.cargurus.com

2

Frontiers Chemical Genetics Screen Identifies Epigenetic
www.frontiersin.org

16 Channel 4k Nocturnal Ip Nvr System With Eight 4k 8mp Ip
www.lorextechnology.com

2020 Acura Nsx Build Price Acura Com
nsx.acura.com

F3kzkkrw0r35lm

16 Channel Security Camera System With Sixteen 1080p Outdoor
www.lorextechnology.com

Https Www Wpbf Com Article Gas Station Opens In Fort Pierce
www.wpbf.com

Free Background Vectors 880 000 Images In Ai Eps Format
www.freepik.com

I5x0yznjidlmrm

Amazon Com Contixo F24 Pro 4k Quadcopter Uhd Fpv Gps Foldable
www.amazon.com

1 000 Free Hd Wallpapers For Download Pixabay
pixabay.com

The Top 150 Global Licensors Licenseglobal Com
www.licenseglobal.com

Feedback Modulation Of Cholesterol Metabolism By The Lipid
www.nature.com

Cars 2006 Imdb
www.imdb.com

Sexual Reproduction In Plagiogrammacean Diatoms First Insights
journals.plos.org

16 Channel 4k Nocturnal Ip Nvr System With Eight 4k 8mp Ip
www.lorextechnology.com

Best Home Theater Projectors For 2020 Cnet
www.cnet.com

Free Top Charts For Every Category App Store Google Play
prioridata.com

Bnujrzol1jwr7m

1 000 Free Hd Wallpapers For Download Pixabay
pixabay.com

Cute Wallpaper

Https Www Co Brown Mn Us Images Department Commissioner Packets 2018 Full 20board 20packet 11 20 2018 Pdf

Free Top Charts For Every Category App Store Google Play
prioridata.com

Hisense 55 Class Led H8f Series 2160p Smart 4k Uhd Tv With Hdr
www.bestbuy.com

Pdf Speeded Up Detection Of Squared Fiducial Markers
www.researchgate.net

The Georgia Film Entertainment Sourcebook 2018 2019
ozonline.tv

Https Www Autoblog Com 2019 06 30 Max Verstappen Wins
www.autoblog.com

D44e5z4u5lcqfm

Sub Sessions
www.eventclass.org

Hisense 55 Class Led H8f Series 2160p Smart 4k Uhd Tv With Hdr
www.bestbuy.com

Vizio D Series 60 Class 4k Hdr Smart Tv D60 F3 Vizio
www.vizio.com

May 1990 Newspaper Archives Of Ocean County
www.yumpu.com

Crispr Screens In Cancer Spheroids Identify 3d Growth Specific
www.researchgate.net

Sound Communications June 2019 Vol 65 No 6 By Sound
issuu.com

Symmetry Free Full Text Facial Expression Recognition A
www.mdpi.com

A Review Of The B9 Lg S Most Affordable 4k Hdr Oled Tv Oled55b9
4k.com

Amazon Com Silicon Power 512gb Ssd 3d Nand A55 Slc Cache
www.amazon.com

2019 Tesla Model 3 149 Interior Photos U S News World Report
cars.usnews.com

Youtuber Upscales Classic Film To 4k 60p Resolution Using Neural
www.dpreview.com

Lg 75 Class Led Um6970pub Series 2160p Smart 4k Uhd Tv With Hdr
www.bestbuy.com

Pico Probe Of Inflation And Cosmic Origins
www.groundai.com

Vizio E43 F1 E Series 43in Led Lcd Smart Tv 38x21 Hdr Walmart
www.walmart.com

Qidi Tech Large Size Intelligent Industrial Grade 3d Printer New
www.amazon.com

Https Cdn Dataton Com Files Pdf Etc Userguides Watchout Users Guide 6 1 Pdf Mtime 20170725121436

Amd Ryzen 9 3900x And Ryzen 7 3700x Review Old Ryzen Owners Look
www.forbes.com

The Fast And The Furious Tokyo Drift 2006 Imdb
www.imdb.com

Rca 70 Class 4k Ultra Hd 2160p Smart Led Tv Rnsmu7036
www.walmart.com

Experimental And Computational Analyses Reveal That Environmental
www.nature.com

The 25 Best Game Trailers From E3 2018 The Verge
www.theverge.com

Posters Abstracts 289 2348 2019 Hepatology Wiley Online
aasldpubs.onlinelibrary.wiley.com

Https Www Bloomberg Com News Videos 2019 05 31 The Nuclear Of
www.bloomberg.com

Nvidia Geforce Rtx 2080 Vs Gtx 1080 Ti Which Graphics Card Should
www.pcworld.com

83 Og Jpg W 650 H 433 Fit Crop Crop Top
www.ticketfly.com

Hanwha Techwin America Security Cameras Surveillance Solutions
www.hanwhasecurity.com

Audi A8 Wikipedia
en.wikipedia.org

Genes Free Full Text Mutation Clusters From Cancer Exome Html
www.mdpi.com

Black Audi A8

Hisense 65 Class 4k Ultra Hd 2160p Hdr Roku Smart Led Tv 65r6e
www.walmart.com

2

2

Buy Doom 3 Microsoft Store
www.microsoft.com

Poster Session Ii Abstracts 730 1194 2016 Hepatology
aasldpubs.onlinelibrary.wiley.com

I5x0yznjidlmrm

Best Graphics Cards For Pc Gaming 2020 Pcworld
www.pcworld.com

2

Used Mazda Mazda3 For Sale With Photos Cargurus
www.cargurus.com

Ios 13 0 Is Out But Why The Verge
www.theverge.com

1 000 Free Hd Wallpapers For Download Pixabay
pixabay.com

Pdf A Review On Uav Based Applications For Precision Agriculture
www.researchgate.net

Https Www Artsy Net Artwork Franz Ackermann New Nest Https
www.artsy.net

1 000 Free Science Fiction Space Images Pixabay
pixabay.com

The 200 Best Songs Of The 2010s Pitchfork
pitchfork.com

News Slippery Rock University
www.sru.edu

Samsung Q7cn 55 Qled Curved 4k Uhd Q Hdr Elite Smart Tv
www.newegg.com

Kingston A400 2 5 120gb Sata Iii 3d Nand Internal Solid State
www.newegg.com

1 000 Free Hd Wallpapers For Download Pixabay
pixabay.com

65 Best Vintage Rolls Royce Images Rolls Royce Royce Vintage
www.pinterest.com

2014 Chevrolet Impala Prices Reviews Pictures Kelley Blue Book
www.kbb.com

2020 Acura Nsx Build Price Acura Com
nsx.acura.com

Cars 2006 Imdb
www.imdb.com

2020 Acura Nsx Build Price Acura Com
nsx.acura.com

Free Top Charts For Every Category App Store Google Play
prioridata.com

Amazon Com Geekam Action Camera 4k Wifi Ultra Hd Underwater 30m
www.amazon.com

Posters Abstracts 289 2348 2019 Hepatology Wiley Online
aasldpubs.onlinelibrary.wiley.com

Rca 70 Class 4k Ultra Hd 2160p Smart Led Tv Rnsmu7036
www.walmart.com

2

Douglas A 4 Skyhawk Wikipedia
en.wikipedia.org

The Amazing Spider Man 2 Wikipedia
en.wikipedia.org

Https Documents Saa Org Container Docs Default Source Doc Annualmeeting Final Program 63rd Annual Meeting Seattle Wa 1998 Pdf Sfvrsn 72b4580 2

Nvidia Developer News Centerimage Recognition Nvidia
news.developer.nvidia.com

G Force Disney Movies
movies.disney.com

Amazon Com Updated Version 3 Socket Cigarette Lighter Splitter
www.amazon.com

Audi A8 2004

Amazon Com Projector Wimius P21 6500 Lumens Video Projector
www.amazon.com

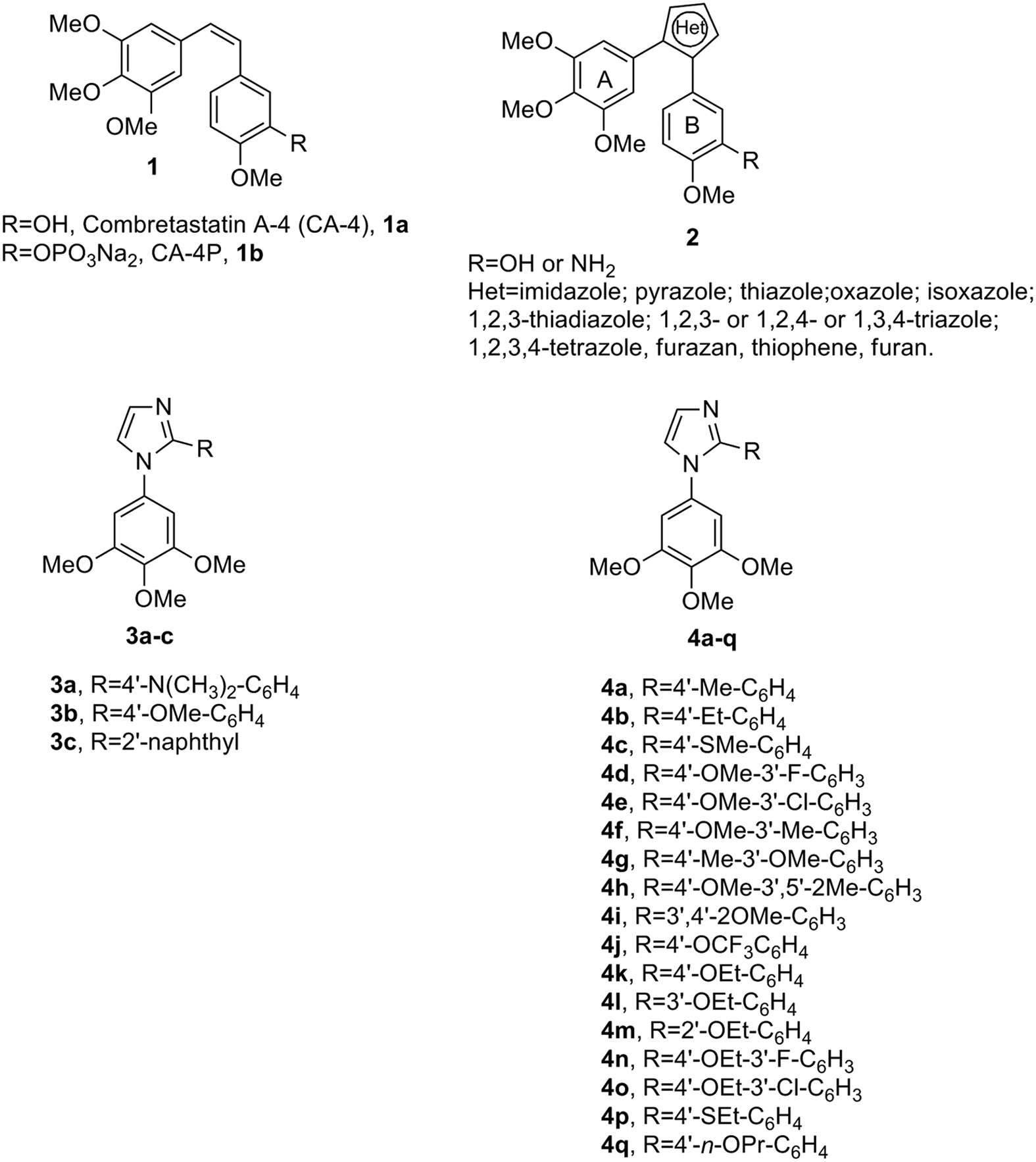
Design And Synthesis Of Potent In Vitro And In Vivo Anticancer
www.nature.com

1 000 Free Hd Wallpapers For Download Pixabay
pixabay.com

1 000 Free Hd Wallpapers For Download Pixabay
pixabay.com

Transformers Dark Of The Moon Wikipedia
en.wikipedia.org